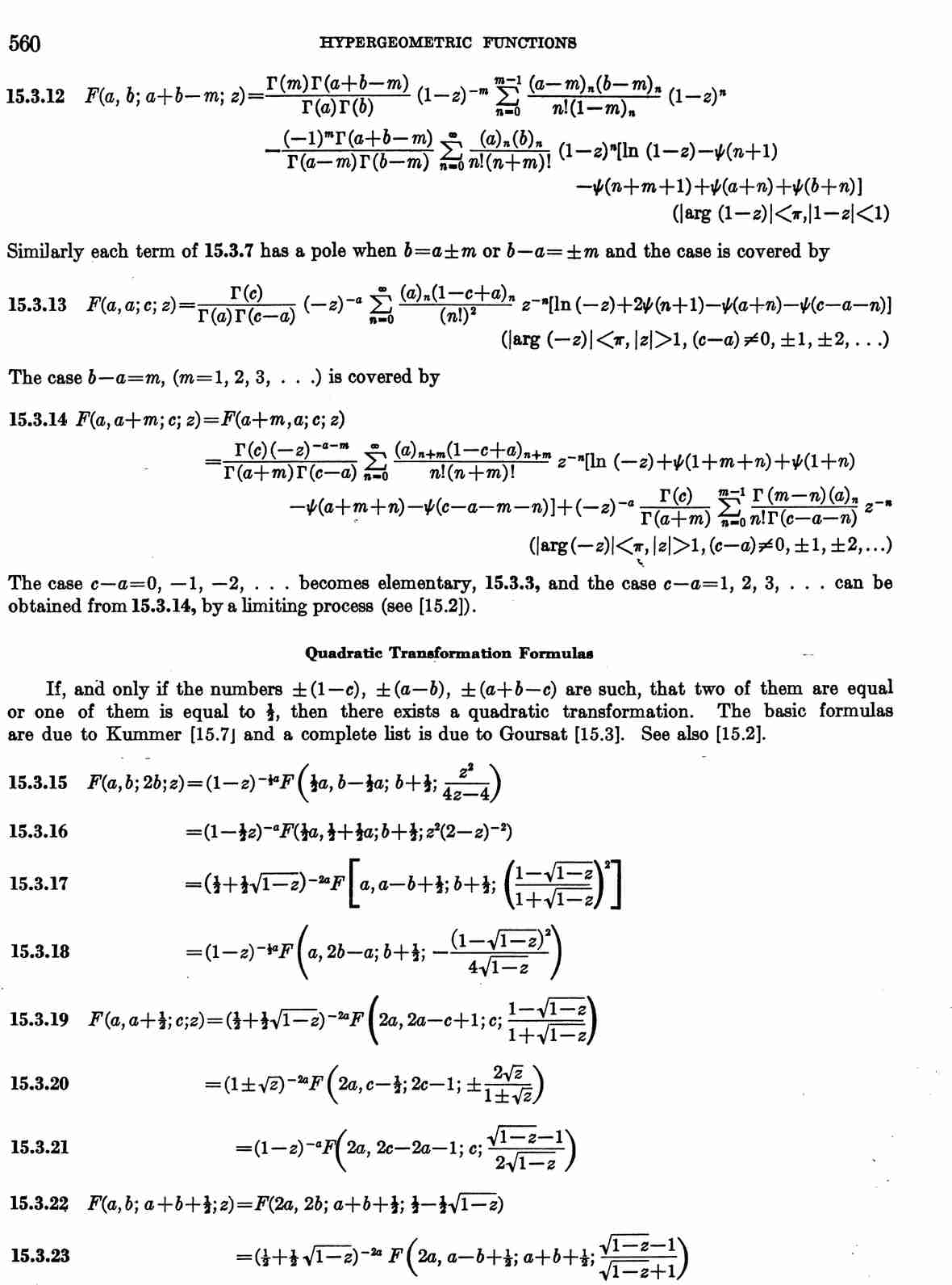
<< To page 559 Table of Contents Subject Index To page 561 >>

image of page 560