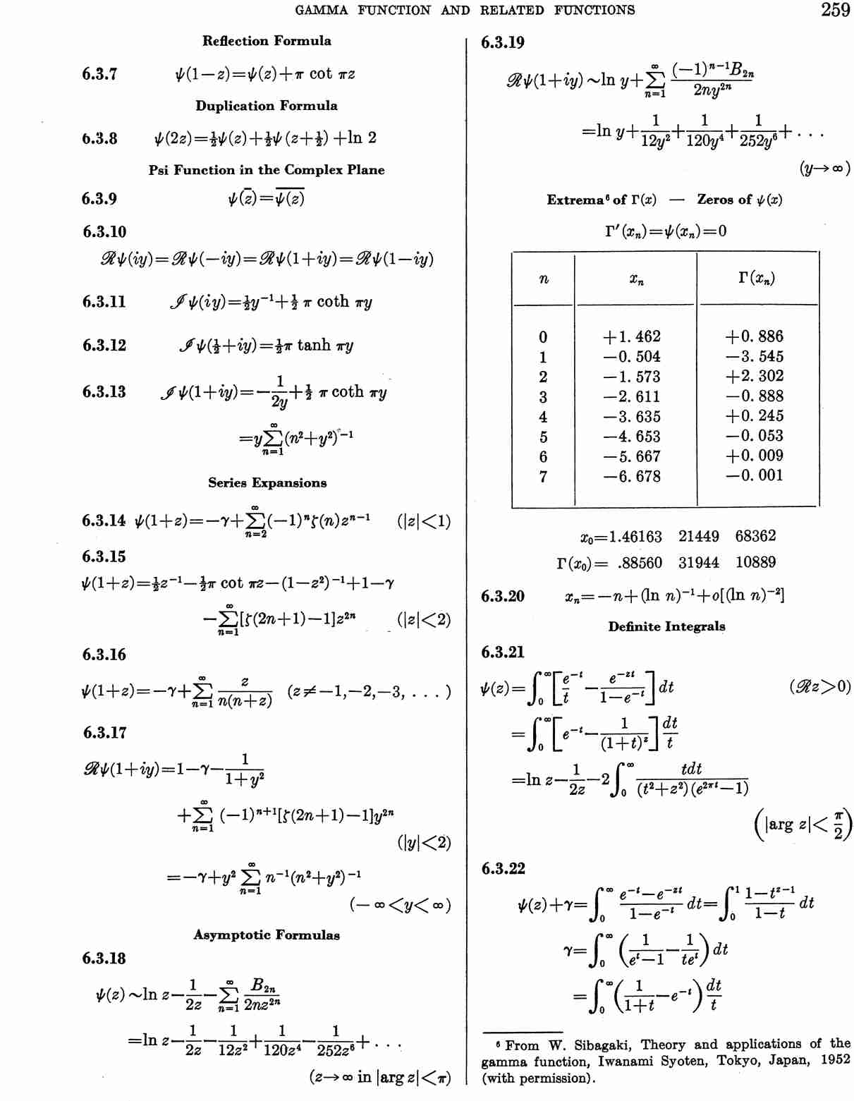
<< To page 258 Table of Contents Subject Index To page 260 >>

image of page 259